Products
‹

›
‹




›
As a professional chemical exporter, we specialize deeply in the field of chemical raw materials, offering you:
•Stable Supply: We have established strategic partnerships with leading domestic chemical manufacturers to ensure a stable supply and reliable product quality.
•Expert Technical Support: We assist you in precisely matching product specifications and resolving any technical challenges encountered during application.
•Streamlined Export Services: Well-versed in the export procedures for various chemical raw materials, we provide comprehensive, one-stop logistics and customs clearance services, enabling you to fulfill global orders with complete peace of mind.
Navigation
Polyurethane
Additives
Agricultural Chemicals
Catalysts And Auxiliaries
Daily Chemicals
Dyestuffs And Pigments
Fertilizers
Flavors And Fragrances
Inorganic Chemicals
Paint Coating
Inorganic Salt
Organic Intermediate
Organic Raw Material
Pharmaceutical Raw Materials
Plant Extracts
Quaternary Ammonium Salts
Product Inquiry
Product Description
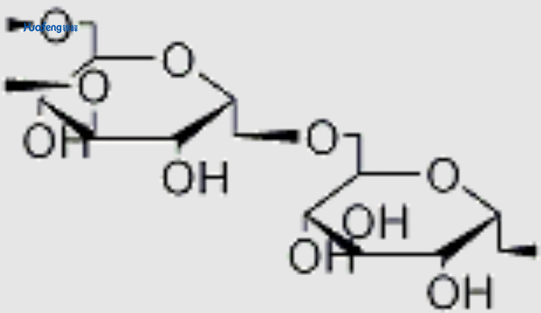
Dextran CAS #9004-54-0
Dextran, a glucose polymer composed predominantly of ol-1,6-glucopyranosidic linkages, is produced from sucrose by Leuconostoc mesenteroides and related organisms and from dextrins by other bacteria.
Dextran is used in a bead form to aid in bioreactor applications, some size-exclusion chromatography matrices and in osmotic stress technique study involved in biological molecules. It can be used as a stabilizing coating to protect metal nanoparticles from oxidation.
Dextrans are long-chain glucose polysaccharides of various relative molecular masses. Dextran 70 (relative molecular mass 70 000) is retained in the intravascular space where, like albumin, it contributes to the colloid oncotic pressure of plasma. Unlike albumin, dextran 70, when given in large amounts, prevents platelet aggregation and facilitates fibrinolysis.

Product Name: | Dextran |
Synonyms: | Dextran 75,000 Mw, Pryogen Free;Dextrane2000;Dextran, high fraction, for biochemistry;MUCROSE;NATIVE DEXTRAN;POLY[(1,6)-ALPHA-D-GLUCOSE];DEXTRAN,150,000,POWDER;DEXTRAN,250,000,POWDER |
CAS: | 9004-54-0 |
MF: | C17H32O10 |
MW: | 396.42998 |
EINECS: | 232-677-5 |
Product Categories: | Other APIs;Carbohydrates & Derivatives;Inhibitors;Intermediates & Fine Chemicals;Pharmaceuticals;Dextrins、Sugar & Carbohydrates;Carbohydrates D-FAlphabetic;DA - DHBiochemicals and Reagents;Biostabilization AgentsCarbohydrates;Biostabilization AgentsBiochemicals and Reagents;Carbohydrates A to;Carbohydrates D-FBiochemicals and Reagents;Biochemicals and Reagents;Carbohydrates;Polysaccharide;DA - DHPolymer Standards;Alphabetic;D;Dextran;Water Soluble Polymers;DextranChromatography;DIN StandardsCertified Reference Materials (CRMs);Application CRMs;Polymer Standards;Biostabilization AgentsResearch Essentials;CarbohydratesBiochemicals and Reagents;Stabilization of Biomolecules;Core Bioreagents;Organic SolublePolymer Standards;Polymer Standards Kits;Water Soluble;Cell Separation (Centrifugation) MediaResearch Essentials;Centrifugation Media;Hematology and Histology |
Mol File: | 9004-54-0.mol |
Dextran Chemical Properties |
Melting point | 483 °C (decomp) |
alpha | 198 º |
density | 1.00-1.20g/mL |
refractive index | 185 ° (C=6, H2O) |
storage temp. | 2-8°C |
solubility | H2O: soluble50mg/mL, clear to very slightly hazy, colorless to faintly yellow |
form | Solid |
color | White to slightly off-white |
PH | 2 - 10 |
biological source | bacterial (Leuconostoc mesenteroides) |
optical activity | +208 to +233 (formaldehyde) |
Water Solubility | Soluble in water, dimethyl sulfoxide, ethylene glycol and glycerol. |
Merck | 14,2948 |
Stability: | Stable. Keep dry. Incompatible with strong oxidizing agents. |
LogP | -4.259 (est) |
EPA Substance Registry System | Dextran (9004-54-0) |
Absorption | ≤0.05 at 375nm in H2O at 10% |
Product Usage
Kojic acid (CAS # 501-30-4) has a wide range of applications. In the field of cosmetics, by inhibiting tyrosinase activity and antioxidant properties, it is used in whitening creams and other products to whiten and remove freckles, and is also added to sunscreen products to enhance sun protection; In the field of food, the use of antibacterial and antioxidant effects can not only keep fruit and vegetable meat fresh, but also protect the color in processed foods such as fruit juice; In the field of medicine, it can treat pigmented skin diseases such as melasma, and can also be antibacterial and anti-inflammatory in topical drugs; In addition, it can be used as a plant growth regulator in agriculture and as an antioxidant and metal ion chelating agent in industrial production.
Factory Showcase
Packaging And Shipping
We provide fully compliant, safe and customizable packaging solutions for Sodium Hydroxide, Calcium Chloride, Sodium Carbonate, Potassium Hydroxide and all our industrial chemical products. All packaging strictly follows UN, IMDG and IATA international transport standards, with anti-leakage, moisture-proof and corrosion-resistant design. We also offer professional loading, container reinforcement and full-process traceable global shipping services, ensuring your goods arrive safely and on time at any destination worldwide.
Product Inquiry
Related Products
Learn More
Learn More
Learn More
Learn More
Learn More
Learn More
Learn More
Learn More
Learn More
Learn More
Learn More
Learn More
Learn More
Learn More
Learn More
Learn More
Learn More
Learn More
Learn More
Learn More
Learn More
Learn More
Learn More
Learn More
Learn More
Learn More
Learn More
Learn More
Learn More
Learn More
Learn More
Learn More
Learn More
Learn More
Learn More
Learn More
Learn More
Learn More
Learn More
Learn More
Send Us Your Inquiry Today
Whether you have inquiries about product specifications, pricing, delivery, or customized solutions, please leave us a detailed message. Our professional sales and technical team will respond to you promptly and provide one-stop support for your global procurement.








